Системы трубопроводные высоконапорные


ОБЛАСТЬ ПРИМЕНЕНИЯ СИСТЕМ ТРУБОПРОВОДНЫХ ВЫСОКОНАПОРНЫХ
Данные трубопроводы применимы на:
- мелководье и болотистых местностях;
- озерах и реках;
- прибрежных водах (шельфах) – максимальная глубина до 100 метров;
- сложных ландшафтах – горной местности, лесах, пустынях.

Способы монтажа трубопроводов:
- траншейная прокладка;
- наземная прокладка;
- надземная прокладка;
- подводная прокладка;
- прокладка методом санации.

На сегодняшний день возможна поставка систем трубопроводных высоконапорных с условным внутренним диаметром от 50 до 200 мм, условным рабочим давлением 4,0; 10,0; 21,0; 25,0 МПа и рабочей температурой до +80°С. Данные трубопроводы могут быть оснащены теплоизоляционным слоем, системой электроподогрева. Срок службы данных трубопроводов – 20 лет.

Конструкция СТВ (базовое исполнение)
Стальной высокопрочный армирующий слой
Внутренние диаметры Ду, мм 50-200
Рабочие давление Ру, МПа 4,0-21,0
Рабочая температура, °С -60…+60*
Рабочая температура, °С -60…+80**

*При применении в качестве полимера для оболочек базового материала – полиэтилена.
**При применении в качестве полимера для оболочек – термостойкого полиэтилена.

Коррозионностойкая внутренняя оболочка из полимера. Устойчивая к УФ коррозионностойкая внешняя оболочка из полимера.
Ду 50, мм Ду 80, мм Ду 100, мм Ду 150, мм Ду 200, мм
Наиболее востребованные (распространенные)
типоразмеры трубопроводов
СТВ (базовое исполнение)
Трубопроводы поставляются на барабанах следующих габаритных типоразмеров:
I тип – 3,6 × 2,45 × 3,6 (м)
II тип – 3,9 × 2,45 × 3,9 (м)

Системы трубопроводные высоконапорные с теплоизоляционным слоем

Внутренние диаметры Ду, мм 50-180
Рабочие давление Ру, МПа 4,0-21,0
Рабочая температура, °С -60…+80
СТВ с теплоизоляционным слоем
Трубопроводы поставляются на барабанах следующих габаритных типоразмеров:
I тип – 3,6 × 2,45 × 3,6 (м)
II тип – 3,9 × 2,45 × 3,9 (м)

Фитинги для монтажа СТВ
Фланцевый фитинг
Болтовое соединение
Уплотнительные элементы
Фланцы по ГОСТ, ANSI/ASME
Симметричный фитинг
Соединений отрезков труб
Фитинг под приварку
Приваривается к элементам стандартного трубопровода и стандартной трубопроводной арматуре
Способы присоединения фитингов при монтаже СТВ
Доставка до потребителя
Качество выпускаемого продукта
Проверка качества проводится на всех этапах изготовления, начиная с входного контроля материалов, из которых изготавливаются системы трубные высоконапорные (контролируемые параметры приведены в таблице 1), проверка проводится на соответствие заявленным производителем характеристикам материала.
В процессе изготовления обозначены контрольные точки для проверки качества изготовления на всех операциях. В проверку межоперационного контроля входят проверка технологических режимов (температура, давление и пр.), проверка геометрических размеров, проверка специфических особенностей при изготовлении подобных изделий.

Вся отгружаемая готовая продукция имеет 100 % контроль качества, т.е. все барабаны с трубой проверяются внутренним гидростатическим давлением 1,3хРраб. в течении 2-х часов, что подтверждается прикладываемым протоколом гидростатических испытаний. Данные испытания могут проходить в присутствии Заказчика, либо в присутствии третьей стороны, представляющей интересы Заказчика (аудитора).

Каждые 2 года на предприятии проходят квалификационные испытания выпускаемой продукции, на которых подтверждаются заявленные в Технических условиях прочностные характеристики (перечень испытаний приведен в таблице 2):

ООО КБ «Кибершельф»

Офис:
198206, г. Санкт-Петербург,
Петергофское шоссе, д. 73
корпус 10, литер АЖ, помещение 1-Н, комн. 97
post@cbsh.ru
Разработка и производство:
180021, г Псков, ул. Индустриальная, д. 9/1


Cистемы трубопроводные высоконапорные с электроподогревоми дополнительным теплоизоляционным слоем позволяет полностью компенсировать тепловые потери перекачиваемых жидкостей в окружающую среду.

Трубопроводы поставляются на барабанах следующих габаритных типоразмеров:
Iтип – 3,6 × 2,45 × 3,6 (м)
IIтип – 3,9 × 2,45 × 3,9 (м)

Системы трубопроводные высоконапорные (СТВ) предназначены для транспортировки под давлением нефти, газа, воды, метанола, абразивных сред и пр.
СТВ - это система трубопроводная высоконапорная многослойной структуры, состоящая из полимерных слоев, армированных металлическими высокопрочными материалами.
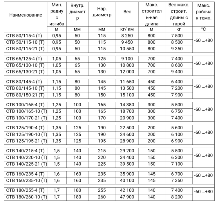
Таблица типоразмеров и технических характеристик трубы
Таблица типоразмеров и технических характеристик трубы
Отдельные отрезки трубопровода соединяются посредством металлических фитингов различного исполнения.
Фитинги предназначены как для соединения отрезков труб между собой, так и для присоединения СТВ к стальному трубопроводу и прочему оборудованию.
СТВ поставляется на металлических барабанах. До места установки ее можно доставить автомобильным, железнодорожным, морским транспортом.
СТВ с электроподогревом
Таблица типоразмеров и технических характеристик трубы
На производстве введена система менеджмента качества ГОСТ Р ИСО 9001-2015. Вся выпускаемая продукция сертифицирована и имеет сертификат соответствия. Конструкции трубопроводов разрабатывались согласно требованиям международных стандартов на гибкие трубы - API 17J, API 15S.